您好,欢迎来到德德沐农业文库共享网 (下载更清晰,上传赚农币,请收藏本网站!)
当前位置:首页 > 农业文库 > Effect of Organic Fertilizers and Soil Conditioners on the Quality of Maiden Apple Trees

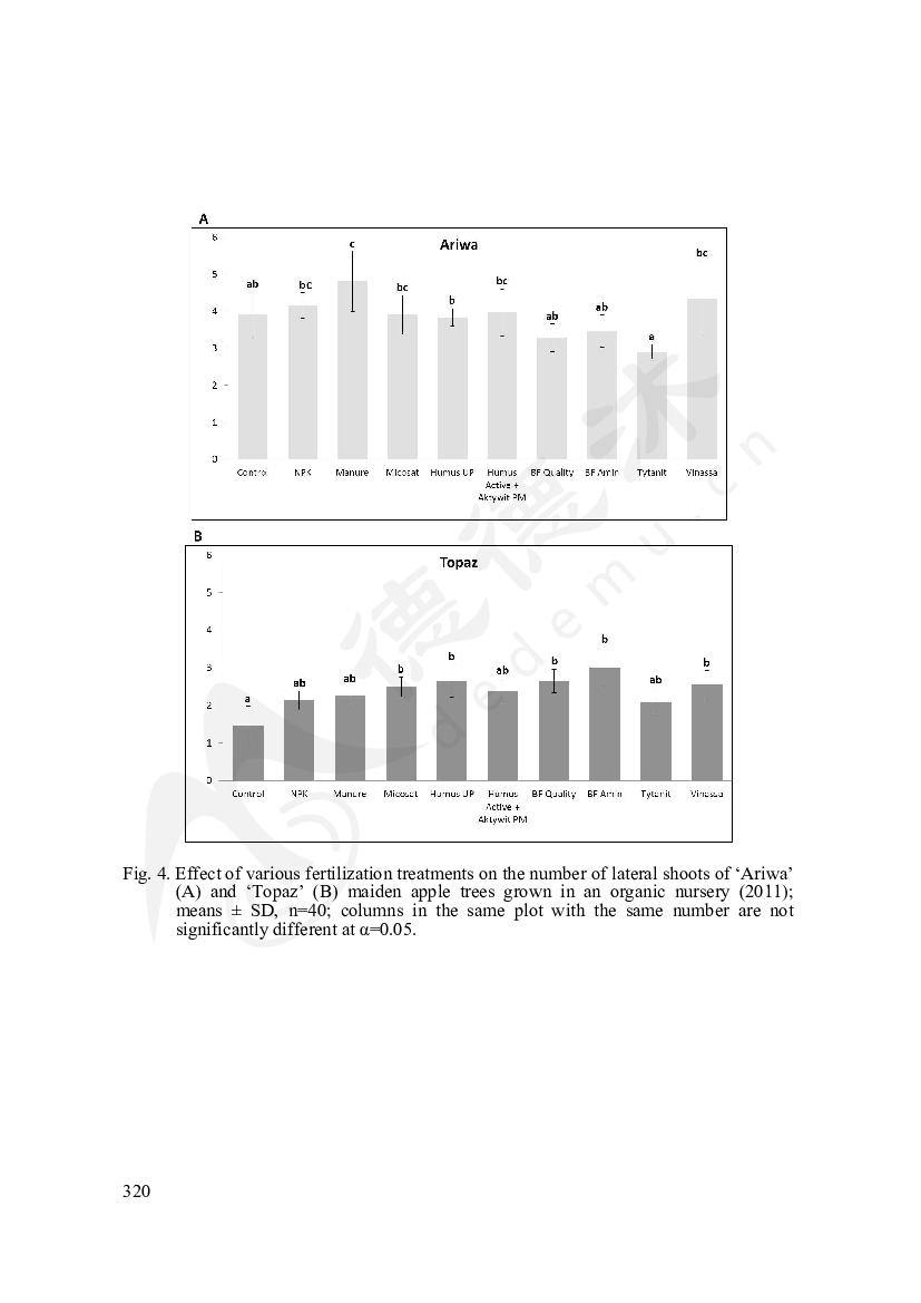
Effect of Organic Fertilizers and Soil Conditioners on the Quality of Maiden Apple Trees

作者:小德子 阅读:599 下载:0
星级 收藏

简介:Effect of Organic Fertilizers and Soil Conditioners on the Quality of Maiden Apple Trees

Effect of Organic Fertilizers and Soil Conditioners on the Quality of Maiden Apple Trees

© 版权说明:本文档由用户提供并上传,收益归属内容提供方,若内容存在侵权,请进行举报或认领 举报

内容举报

标题:

问题说明:

收到礼物:

×0

农币

×0

黄腐酸钾

×0

氨基酸海藻

×0

细胞腐殖酸

×0

沃果种苗

×0

优质文档

打赏礼物:

农币

黄腐酸钾

氨基酸海藻

细胞腐殖酸

沃果种苗

优质文档

最新评论

悬赏问答

标题:

类别:

问题描述:

图片上传:

选择图片

悬赏农币数:

微信扫描二维码进行支付